刚出炉的权威研究来了!西北农林科技大学团队 2025 年发表在《微生物学报》(核心期刊,DOI: 10.13343/j.cnki.wsxb.20250174)的实验,用严谨数据揭开了 NMN 和 NR 的健康真相 —— 这两种 NAD + 前体不仅能调理肠道、抗炎抗氧化,功效还各有侧重,看完再也不用纠结怎么选!

PART 01
先看 “共通王牌”:NMN 和 NR 都能给身体 “打底子”
研究把 45 只 C57 小鼠分成 3 组,对照组喝普通水,另外两组1周5次灌胃 400mg/(kg・d) 的 NMN 或 NR,8 周后得出的结论让人大吃一惊:这两种成分竟在肠道健康和代谢调节上达成了 “共识”!
给肠道菌群 “换血”:有益菌变多,群落更稳定
肠道里的菌群就像 “微型生态系统”,种类越丰富、结构越均衡,身体越健康。实验发现:
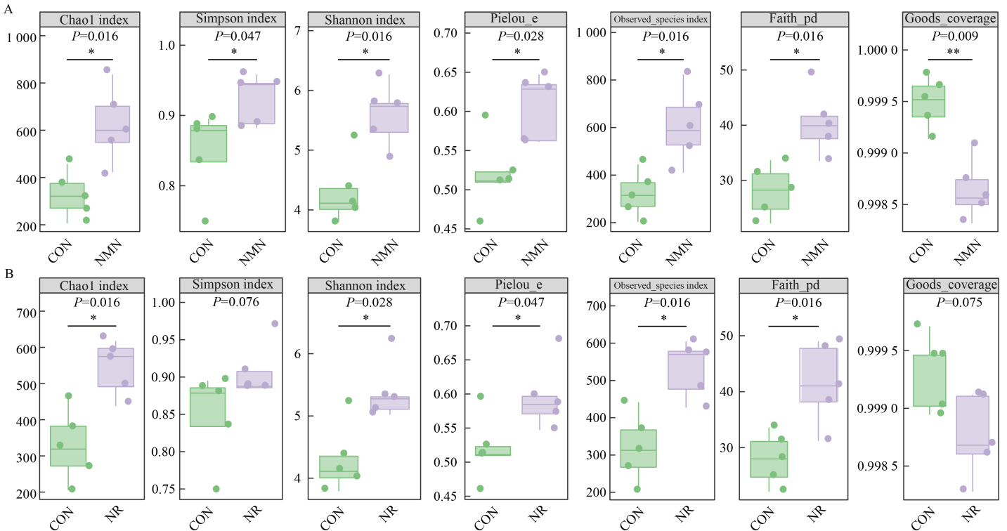
补充 NMN 或 NR 后,小鼠肠道微生物的 “丰富度”(Chao1 指数)和 “多样性”(Shannon 指数)都显著升高,意味着有益菌种类变多,有害菌被抑制;

△图1:饲喂NMN和NR对小鼠肠道微生物多样性的影响。
A:对照组和NMN组小鼠肠道微生物α多样性结果比较;
B:对照组和NR组小鼠肠道微生物α多样性结果比较;
关键优势菌门也变了:拟杆菌门(Bacteroidota)(负责营养吸收、免疫调节)、假单胞菌门 (Pseudomonadota)丰度上升,放线菌门(Actinomycetota)(失衡时易引发炎症)丰度下降,而且不会导致菌群失调 —— 这相当于给肠道装了 “稳定器”。

△图2:饲喂NMN和NR对小鼠肠道微生物多样性的影响。
C:饲喂NMN组门水平物种丰度;
D:饲喂NR组门水平物种丰度
抗炎抗氧化 “双 buff”:从代谢到基因都在护健康
炎症和氧化损伤是很多问题的 “源头”,而 NMN 和 NR 直接从两方面下手:
代谢层面:两者都能显著上调油酸、亚油酸等抗炎脂肪酸类代谢物,以及水杨酸等抗氧化代谢物,相当于给身体添了 “天然防护盾”;

△图3:饲喂NMN组差异代谢物热图

△图4:饲喂NR组差异代谢物热图
基因层面:定量PCR 检测证实,它们能直接抑制 TNF-α、IL-6 等促炎因子的表达 —— 简单说,就是从根源上减少炎症反应。

△图5:饲喂NMN和NR对小鼠肠道炎症因子的影响。
A:肿瘤坏死因子(tumor necrosis factor-α, TNF-α)的PCR表达结果;
B:白细胞介素6 (interleukin 6, IL-6)的PCR表达结果;
PART 02
关键差异!NMN 和 NR,选对才是 “精准养生”
虽然核心功效重叠,但实验清晰分出了两者的 “擅长领域”,根据需求选对,效果翻倍!
NMN:肠道屏障 “守护神”,适合重点调理肠道
如果你常有肠道不适、担心黏膜受损,NMN 是更优解!研究发现,NMN 能显著增加结肠杯状细胞的数量—— 这种细胞是肠道的 “黏液分泌机”,分泌的黏液能在肠壁形成 “物理屏障”,把有害菌和肠上皮隔离开,从根本上增强肠道抵抗力。而且 NMN 对肠道微生物的调节力度更强:不仅菌群多样性高于 NR 组,还能通过 “拟杆菌 - 脂肪酸” 轴强化局部免疫,相当于给肠道 “量身定制” 健康方案。

△图6:小鼠结肠杯状细胞数量统计

△图7:对照组、NMN组和NR组小鼠肠道微生物α多样性结果比较
NR:肌肉活力 “助推器”,适合关注体能状态
想提升肌肉力量、改善疲劳感?NR 的优势更突出!实验中一个意外发现:NR 组小鼠的抓握能力显著优于对照组和 NMN 组。这背后藏着明确的机制:NR 能上调花生酸(修复细胞膜)、L - 天冬酰胺(优化能量供应)等代谢物,还能激活三羧酸循环等核心能量通路,同时下调 “氧化应激标志物” 对苯二酚 —— 简单说,就是给肌肉 “充能 + 减负”,让体能状态更在线。

△图8:小鼠抓握能力统计
PART 03
根据需求选,科学不踩坑

2025 年的最新研究已经把答案摆上台:NMN 和 NR 不是 “替代关系”,而是 “互补选项”。无论是想守护肠道健康,还是提升体能状态,选对这两种有权威文献背书的 NAD + 前体,就是给健康加份 “双保险”~
PART 04
邦泰生物 NR 苹果酸盐,专注更优的 NR 技术与品质
作为自 2012 年起便深耕生物酶催化技术领域的高新技术企业,邦泰生物在 NR 苹果酸盐(NRHM)的研发与品质把控环节,融入了诸多行业独有的专注与投入,其技术实力与产品硬实力均体现出显著优势。
独家技术优势:邦泰生物的 NR 苹果酸盐拥有全球首个晶型发明专利,从分子结构层面实现了关键突破,为产品性能优化奠定了核心基础。同时,作为 NMN 行业的开创者,邦泰生物采用全球首创的全酶法技术打造该产品,技术路径的创新性与先进性处于行业领先水平。截至目前,公司围绕相关技术累计申请 200 余项国内外发明专利,且建有全国首家省级辅酶工程技术研究中心,持续以扎实的研发实力与技术积累,构建起行业核心竞争壁垒。
产品硬品质:在产品品质把控上,邦泰生物执行近乎严苛的检测标准。经第三方权威机构 CTI 华测检测验证,其 NR 苹果酸盐中镉、汞、铅、砷等重金属均未检出,从源头上保障了产品安全性;纯度方面,通过液相色谱检测显示几乎无杂峰,且水分、微生物等关键指标均远优于行业标准,体现出极高的产品纯净度。尤为关键的是稳定性表现 —— 对比普通 NR(NRCL),在常温避光条件下,邦泰生物 NR 苹果酸盐的降解量仅为前者的一半,无论是长期储存还是后续应用于各类产品中,均能提供更可靠的品质保障。
合规与资质背书:邦泰生物拿到了 FSSC 22000、Self-GRAS、FDA、Kosher、HALAL等国际权威认证,从研发到生产全流程符合国际高标准,为产品的全球化应用提供了合规基础。此外,产品还通过了抗光老化实验、斑马鱼 NAD + 水平提升实验等科学验证,从实验层面进一步印证了其应用价值与潜力。
目前,邦泰生物 NR 苹果酸盐已在合规领域稳步推进应用落地。若您对 NR 技术细节、高品质产品研发逻辑等内容感兴趣,欢迎关注邦泰生物 —— 作为以 “绿色生物科技” 为核心、辅酶系列细分领域的龙头企业,我们始终致力于分享产品背后的研发故事与品质标准,更多详细信息可通过公司官网(www.bontac-bio.com)或官方公众号查询了解。
参考文献:
倪冰, 朱莉莉, 陈好, 史新娥, 靳建军.添加烟酰胺单核苷酸/烟酰胺核苷对小鼠肠道微生物及代谢物的影响[J].微生物学报, 2025, 65(9): 4119-4135.